Inferensistatistik adalah pengambilan kesimpulan tentang parameter populasi berdasarkan analisa pada sampel. Beberapa hal yang perlu diketahui berhubungan dengan inferensi statistic yaitu estimasi titik, estimasi interval dan uji hipotesis.
Estimasi titik adalah menduga nilai tunggal parameter populasi. Estimasi Interval adalah menduga nilai parameter populasi dalam bentuk interval. Uji hipotesis adalah suatu proses untuk menentukan apakah dugaan tentang nilai parameter/karakteristik populasi didukung kuat oleh data sampel atau tidak.
Hipotesis dalam inferensi statistic dibedakan menjadi hipotesis nol (Ho), yaitu hipotesis yang akan diuji oleh suatu prosedur statistik, biasanya berupa suatu pernyataan tidak adanya perbedaan atau tidak adanya hubungan, dan hipotesis alternativ (H1), yaitu hipotesis yang merupakan lawan dari Ho biasanya berupa pernyataan tentang adanya perbedaan atau adanya hubungan, yang selanjutnya digunakan untuk menunjukan bahwa pernyataan mendapat dukungan kuat dari data.
Tahap-tahap uji hipotesis secara umum, yaitu:
1. Tentukan model probabilitas yang cocok dari data,
2. Tentukan hipotesis Ho dan H1,
3. Tentukan statistic penguji,
4. Tentukan tingkat signifikansi,
5. Tentukan daerah kritik berdasarkan tingkat signifikansi,
6. Hitung statistic penguji,
7. Alternatif, hitung p-value berdasarkanstatistikpenguji, dan
8. Ambil kesimpulan berdasarkan poin 6 dan 7.
Inferensistatistik dibedakan menjadi (metode pengujian hipotesis):
I. Inferensi statistik mean satu populasi, terdiri atas:
1. Uji Z (jika variansi diketahui dan ukuran sampel kecil (<30))
2. Uji T (jika variansi tidak diketahui, dan ukuran sampel besar (>30))
II. Inferensi proporsi, terdiri atas:
1. 1 populasi
2. 2 populasi
III. Inferensi dua rata-rata, terdiri atas:
1. Uji rata-rata 2 populasi dependent
2. Uji rata-rata 2 populasi independent
I. INFERENSI STATISTIK MEAN 1 POPULASI
Inferensi Statistik Mean 1 populasi dapat dilakukan dalam 1 kondisi, yaitu ketika variansi diketahui dan variansi tidak diketahui.
A. Variansi Diketahui (UJI Z) ;sample<30
B. Variansi Tidak Diketahui (UJI T) ;sample>30
Uji t 2-arah digunakan apabila peneliti tidak memiliki informasi mengenai arah kecenderungan dari karakteristik populasi yang sedang diamati. Sedangkan uji t 1-arah digunakan apabila peneliti memiliki informasi mengenai arah kecenderungan dari karakteristik populasi.
Uji-t dapat dibagi menjadi 2:
1. uji-t 1-sampel
2. uji t 2-sampel
1. uji-t yang digunakan untuk pengujian hipotesis 1-sampel
2. uji-t yang digunakan untuk pengujian hipotesis 2-sampel. Berdasar independensinya dibagi lagi:
a. uji-t untuk sampel bebas (independent).
Jika ragam data belum diketahui dilakukan Uji homogenitas data (Uji F).
– Uji T ragam homogen
– Uji T ragam tidak homogen
b. uji-t untuk sampel berpasangan (paired)/tidakbebas.
CONTOH UJI T SAMPLE BEBAS:
CONTOH UJI T SAMPEL BERPASANGAN
Untuk mencari beda dua rata-rata yang saling berhubungan dimana n:
Untuk membuktikan bahwa hasil les telah meningkatkan nilai-nilai siswa yang mengikutinya dapat dilakukan dengan melakukan pengujian hipotesis menggunakan langkah-langkah sebagaimana yang telah dilakukan sebelumnya.
1.Tentukan hipotesis nol dan hipotesis alternatif
H0: µd = 0
H1: µd ≠ 0
2. Tingkat kepercayaan (α).
Pada pengujian hipotesis ini tingkat kepercayaan yang digunakan adalah α = 0,05 atau tingkat kepercayaan 95%.
3. Kriteriapenerimaan
Karena uji yang dilakukan adalah uji 1 pihak maka berdasarkan tabel t dengan α 0,05 dan dk = n - 1 = 6 didapatkan nilai t tabel = +2,447. Dengan demikian kriteria penolakan hipotesis adalah:
Tolak H0 jika t hitung ≥ t tabel atau tolak H0 jika t hitung ≤ t tabel atau
Tolak H0 jika t hitung ≥ 2,447 atau tolak H0 jika t 0,05 ≤ -2,447
4. Perhitungan
Langkah pertama untuk melakukan perhitungan adalah mencari perbedaan nilai sebelum les dan sesudah les dengan menggunakan bantuan tabel sebagai berikut:
H0: µd = 0
H1: µd ≠ 0
2. Tingkat kepercayaan (α).
Pada pengujian hipotesis ini tingkat kepercayaan yang digunakan adalah α = 0,05 atau tingkat kepercayaan 95%.
3. Kriteriapenerimaan
Karena uji yang dilakukan adalah uji 1 pihak maka berdasarkan tabel t dengan α 0,05 dan dk = n - 1 = 6 didapatkan nilai t tabel = +2,447. Dengan demikian kriteria penolakan hipotesis adalah:
Tolak H0 jika t hitung ≥ t tabel atau tolak H0 jika t hitung ≤ t tabel atau
Tolak H0 jika t hitung ≥ 2,447 atau tolak H0 jika t 0,05 ≤ -2,447
4. Perhitungan
Langkah pertama untuk melakukan perhitungan adalah mencari perbedaan nilai sebelum les dan sesudah les dengan menggunakan bantuan tabel sebagai berikut:
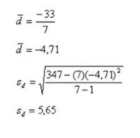
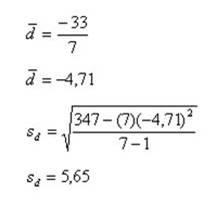
Selanjutnya yang dicari adalah :
Setelah itu dicari standar deviasi beda dua rata-rata
5. Kesimpulan
Berdasarkan statistic uji didapatkan nilai t hitung = -2,21
Berdasarkan statistic uji didapatkan nilai t hitung = -2,21
Karena t hitung lebih kecil dari t tabel maka H0 diterima sehingga pada tingkat kepercayaan 0,95 bisa disimpulkan tidak terdapat perbedaan nilai siswa antara yang mengikuti les dan tidak mengikuti les atau dengan kata lain les yang dilakukan tidak memberikan pengaruh yang signifikan terhadap peningkatan nilai siswa.
II. INFERENSI PROPORSI
A. Satu Populasi
B. Dua Populasi
III. INFERENSI DUA RATA-RATA
A. Uji Rata-rata 2 populasi Independent
Untuk data yang saling independent satu sama lain, uji hipotesisnya yaitu:
· H0 :∏ = ∏ 0 (kedua rata-rata relative sama)
H1 : ∏ ≠∏ 0
· Signifikansi α = 5%
· Statistik hitung
B. Uji Rata-rata 2 populasi Dependent
Uji rata-rata 2 populasi yang saling dependent ini dilakukan untuk menyelesaikanpermasalahan di mana suatu sampel dikenai dua perlakuan yang berbeda, dan kita akan melihat keterkaitan kedua perlakuan tersebut.
Uji hipotesis untuk rata-rata 2 populasi dependent yaitu:
· H0 : ∏ 1 - ∏ 2 = d 0
H1 : ∏ 1 - ∏ 2 ≠ d 0
· Tingkat signifikansi α
· Statistika uji : t =
dan Sd =
· Daerah Kritis, Ho ditolak jika nilai Signifikansi yang diperoleh dari penggunaan SPSS data editor (sig) atau P-value yang diperoleh dari penyelesaian dengan mini tab < α













Tidak ada komentar:
Posting Komentar
Ayo berpartisipasi membangun budaya berkomentar yang baik.